
Artox Consulting
From complex data to clear answers.
About Artox Consulting Ltd
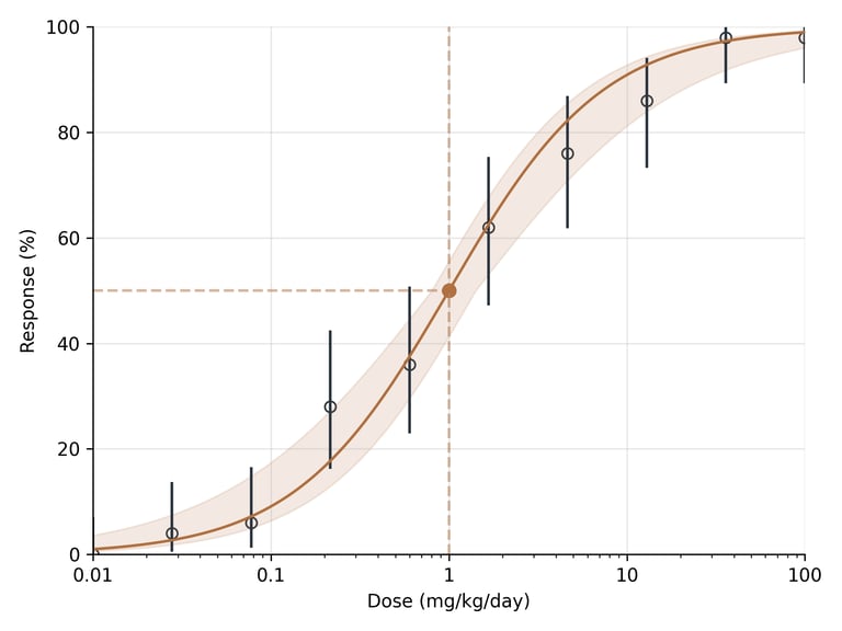
Artox Consulting provides quantitative drug safety consulting across the full spectrum of preclinical and clinical development. We specialise in statistical modelling, data analysis, and tool development; from potency estimation and benchmark dose modelling to dose-response analysis and cross-study data integration.
At Artox we have extensive experience building and deploying QSAR and machine learning models, developing custom analytical tools, automated pipelines, and AI-powered workflows tailored to safety teams working in regulated environments.
Our Expertise
Our Approach
At Artox, we emphasise deep mechanistic understanding over purely descriptive approaches. Our goal is to blend domain expertise with a rigorous formulation of both the problem and the underlying system. Our models reflect how things actually work, not just what the data shows.
The result is transparent, physically-grounded models that support confident predictions within clearly defined domains.
Our Services
Tailored statistical modeling and data analysis.


Statistical Modeling
We specialise in translating expert understanding into robust and transparent models.
Data Analysis
Turning complex datasets into clear, interpretable findings through thorough exploratory analysis, visualisation, and statistical characterisation.
Tool development
Modelling doesn't end with a publication. At Artox we build and deploy custom tools and pipelines to aid in data analysis and model application.
Contact information
Contact us for tailored data-based insights.
rob.thomas@artoxconsulting.co.uk
© 2026. All rights reserved.